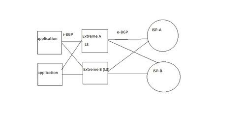
Next hop self not working as expected in i-BGP peering. We have e-BGP peering across Extreme pair of L3 switches towards ISP routers. Also we have i-BGP peering between application nodes and the Extreme switches. Refer to diagram below. Default route is advertised by ISP routers and reaches Extreme A and B, but not till Application node at the left-most side. Next-hop self is enabled for IPv6, still I can see on Extreme that the default route next hop is shown as the ISP router interface, instead of the Extreme switch.
This works fine with IPv4, as expected.
